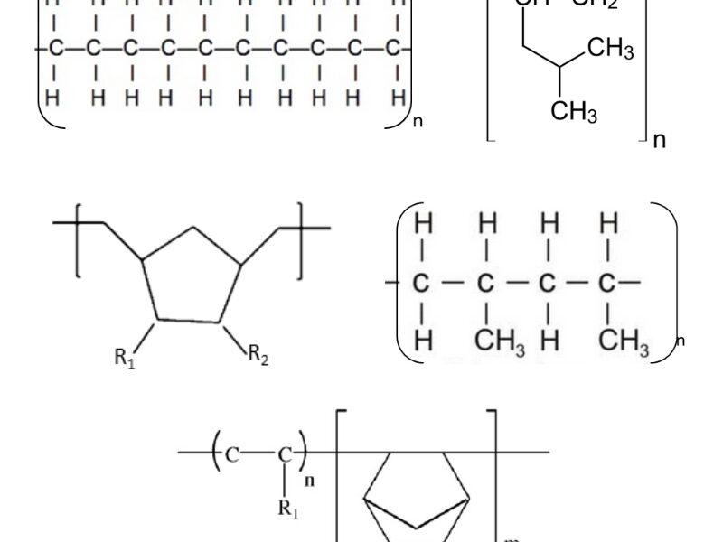
FTIR Spectroscopy Fundamentals: Insights into Plastic Analysis
One of the most common analytical techniques for exploring the composition of plastic materials is…
Paul Gramann, PhD, PEDecember 10, 2025









